Archief voor Categorie Boot shows
Meer verwarring over wanden motorjacht Xanthiona na Boot Holland
Geplaatst door Jurjen Hoekstra in Afbouw, Boot shows, Interieur op 15 februari 2012
Voor meer inspiratie over de inrichting en specifiek hoe ik de wanden moet maken ging ik naar Boot Holland begin Februari. Echtgenote mee, gezellig, samen naar stofjes en raambekleding kijken. En vooral vragen wat nou de beste oplossing is voor de wanden.
Goedkoop plaatmateriaal gebruiken? Of juist garantie multiplex volgens de Amsterdamse fijnhouthandel . Of kant en klare panelen van ClicWall ? Het aanbrengen van extra isolatie tegen de achterzijde van het plaatmateriaal werd mij door de 1 ontraden, een ander had twijfels en de 3de zei: dat kan alleen maar helpen.
Voor de wandbekleding wilde ik eigenlijk (schuim)vinyl gaan gebruiken van bijvoorbeeld Vocamousse of Viva vinyl , maar ik zag op de Boot Holland niets waarvan ik dacht: wow, dat is het, daar ga ik de hele boot vol mee plakken. Intussen heb ik van iemand gehoord die Fermacell heeft gebruikt aan de binnenzijde en dit voorzien heeft van structuur. Zelf zit ik inmiddels al aan behang te denken, maar dat wordt me ook ontraden. Toch is er veel en ook heel erg mooi behang, overigens bijna net zo duur als het vinyl.
Ik ga er nog maar eens wat over nadenken.
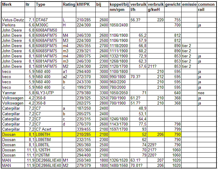
Bezoek aan Boot Holland/Welke scheepsdiesel 2?
Geplaatst door Jurjen Hoekstra in Boot shows, Motor op 14 februari 2010
Het bezoek vorige week vrijdag aan Boot Holland in Leeuwarden was kort, ik heb geen boot gezien (niet op een boot geweest en geen binnenkant bekeken). Doel van het bezoek was om in ieder geval een aantal motor leveranciers te spreken en een leverancier van electronische besturing (Hydronautica )
Achtereenvolgens heb ik gesproken met een Yanmar, Iveco, John Deere en Caterpillar dealer. Tijdens de Hiswa vorig jaar had ik al eens met Steyr en Volkswagen gesproken. Elke motor heeft zijn voor- en nadelen en worden door de dealers warm aanbevolen. Aan mij om een keuze te maken.
Bij de keuze laat ik me leiden door hoeveelheid PK’s, koppel, zuinigheid, eenvoud of complexiteit van techniek en de prijs. De trouwe lezer heeft al gemerkt dat ik een voorkeur heb voor de Volkswagen V8 van 275 PK. Deze motor staat bol van techniek en is tegenstrijdig met de adviezen van vele experts die gaan voor een eenvoudige motor waar je eventueel zelf aan kunt sleutelen. Met name het argument een beschikbaar uitgebreid dealernetwerk in de regio waar ik wil gaan varen (Middellandse Zee) begint zwaar mee te wegen.
Een 2de door menig expert gebruikt argument is de voorkeur voor 2 lichtere motoren. Zeker als je op zee bent en er valt 1 uit, dan heb je nog een 2de die je thuis kan brengen. 100 punten, ik ben bijna overtuigd. Maar als je een zodanig betrouwbare motor hebt, die niet uitvalt, dan zit je ook niet met 2 assen, 2 schroeven, extra ruimte, hoger brandstofverbruik (?), etc.
Ik zit nog te wachten op wat informatie van een aantal motorleveranciers, maar het lijkt erop dat het argument prijs wat wegvalt. Aanvankelijk dacht ik dat de Volkswagen erg duur is, maar ik geloof dat er zeker 2 merken zijn die boven de prijs van de VW uitkomen.
Als ik puur naar de lengte van de Almarine 1700 kijk, dan zou de rompsnelheid ca. 17.2 km/uur of 9.2 knopen/uur zijn (formule: rompsnelheid = 4.54 x √ lengte water lijn in km/u, dus 4.54 x √ 14.41 = 17.2 km/u). Met gebruik van nog een andere formule en het maximale gewicht (38 ton) van het jacht, kom ik uit op een motor met 178 PK vermogen. De beoogde VW van 275 PK voldoet dus ruim. De specificaties van de VW350-8 275 PK. Als voorbeeld ook nog de specificaties van een 6081AFM75_D_S0_R0 met verschillende ratings en een vermogen van 235 PK tot 375 PK. Met de rating M1 levert deze motor maximaal 235 PK bij 2100 toeren en met rating M4 375 PK bij 2400 toeren.
De keuze is niet makkelijk. Help. Die heb ik ingeroepen bij de ontwerper van de Almarine 1700, Hans Alma van Bonito Boats. Hij adviseert 2 motoren met een medium duty rating van elk ca. 130 PK, bijvoorbeeld de Iveco 150 pk N67150. Hij is tevens voorstander voor het Midellandse zeegebied van eenvoudige motoren, die zeker door velen kunnen worden geserviced.
Bezoek aan Boot Düsseldorf
Geplaatst door Jurjen Hoekstra in Boot shows op 1 februari 2010
Boot Düsseldorf: de grootste en meest belangrijke watersportbeurs ter wereld. Dat is de omschrijving van dit jaarlijks evement in de media. Is dat ook zo? Ja, groot is het zeker. Verspreid over 17 hallen is er heel wat te zien: zeilschepen, motorjachten, surfsport, duiken, kleding, werven, boottransporteurs, marinas, motoren,
techniek, accessoires, mega mega veel.
Afgelopen donderdag was ik op Boot Düsseldorf met mijn vriend Kees, die fanatiek en veel surft. Zelf was ik er natuurlijk om informatie te vergaren voor mijn ideale motorjacht de Almarine 1700. De hallen met de verzameling veel te dure plastic bootjes (tupperware noemt mijn collega het ook wel eens), kon ik met een paar grote passen aan. In de hal met de megajachten hebben we samen even staan dromen. De 2 surfhallen werden grondig doorgenomen door Kees en bij de techniek/accessoires/motoren hallen had ik de meeste tijd nodig. De Nederlandse importeur van de Volkswagen marine diesel was aanwezig op de Volkswagen stand en hij heeft de laatste resterende 10 % mij er van overtuigd dat de VW 350-8 DE motor is voor de Almarine. Superstil, zuinig, modern, volledig fly-by-wire aangestuurd, betrouwbaar, superlatieven te over om dit moderne staaltje techniek aan te prijzen. Steekhoudener waren zijn argumenten dat de motoren vele duizenden uren betrouwbaarheidstesten ondergaan en inmiddels ook al beroepsmatig in de scheepvaart worden gebruikt.
Bij de stand van Tecnautic heb ik kort kennisgemaakt met de uitvinder van dit mooie fly-by-wire spul, Otto Holborn. Verder nog veel, mooie en moderne electronica gezien, die vast erg nuttig zijn, maar mij waarschijnlijk te duur zijn. Ik ga geen megajacht bouwen, maar een comfortabel toerschip.
Uiteindelijk viel het voor mij toch een beetje tegen, ik had verwacht meer werven aan te treffen die bereid zijn een Almarine 1700 in elkaar te bakken en technisch vaarklaar op te leveren, maar ik heb slechts 1 werf getroffen die dat in overweging neemt. Het is de Black Sea Yacht yard uit Nikolaev, Oekraïne. Hm, dat klinkt misschien een beetje verwonderlijk, maar jaren geleden werden er vele schepen in Polen gebouwd, omdat de arbeidskrachten daar zo goedkoop waren, dus waarom niet in de Oekraïne. Als je hun website bekijkt kunnen ze wel jachten bouwen. Ik heb de informatie van de Almarine 1700 bij hun achtergelaten en om een offerte gevraagd voor een technisch vaarklaar casco, zodat ik de prijs kan vergelijken met de offertes uit Nederland en België. Wie weet hebben ze een mooi aanbod.
De volgende botenbeurs is: Boot Holland van 12 t/m 17 februari in Leeuwarden. Hier verwacht ik wel meer botenbouwers aan te treffen.

